Valoarea Absoluta A Unui Numar
Valoarea Absoluta A Unui Numar
Returneaza valoarea absoluta a unui numar. Valoarea absoluta exemple gasesti materialul complet si multe altele pe www.profesorultau.ro
Iata cateva CV-uri de cuvinte cheie pentru a va ajuta sa gasiti cautarea, proprietarul drepturilor de autor este proprietarul original, acest blog nu detine drepturile de autor ale acestei imagini sau postari, dar acest blog rezuma o selectie de cuvinte cheie pe care le cautati din unele bloguri de incredere si bine sper ca acest lucru te va ajuta foarte mult
La valoarea absoluta a unui numar rational ordonarea numerelor rationale. In acest articol o sa invatam despre valoarea absoluta a unui numar rational. In acest articol o sa invatam despre valoarea absoluta a unui numar rational.
Din punctul de vedere al geometriei analitice , valoarea absolută a unui număr real este distanța față de originea axei reale și, mai general, valoarea absolută a diferenței a două numere reale este distanța între ele.
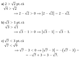
Astfel trebuie sa stim ca pentru orice numar rational x, modulul sau valoarea. Știm că modulul sau valoarea absolută a unui număr întreg este valoarea pozitivă a acelui număr. Modulul unui numar real x (sau valoarea absoluta a numărului x) se notează | x | și este definit astfel:
Valoarea absoluta a lui zero este zero. Returneaza valoarea absoluta a unui numar. Valoarea absolută a unui număr întreg.
La valoarea absoluta a unui numar rational ordonarea numerelor rationale.
Obs) opusul, inversul și modulul numărului rațional 0 este tot 0. Valoarea absoluta a unui numar rational, modulul unui numar rational, ordonarea numerelor rationale 1) scrieti in ordine crescatoare numerele: Se testeaza daca x este mai mare sau egal cu 0.
In acest caz expresia conditionala, in ansamblul ei, ia valoarea pe care o retine variabila x. Algoritmul de extragere a radacinii patrate; Pe de altă parte, valoarea relativă a unui număr este aplicată unei anumite cifre care formează numărul natural.
Transformat in fractie zecimala am.
Valoarea absoluta a unui numar intreg. Se testeaza daca x este mai mare sau egal cu 0. 3 3 0,1 0.1 9 1 9 1 7 proprietatile modulului :

Posting Komentar untuk "Valoarea Absoluta A Unui Numar"