Probleme Cu Marimi Direct Si Invers Proportionale
Probleme Cu Marimi Direct Si Invers Proportionale
Exerciții rezolvate cu mărimi direct (invers) proporționale a) mărimi direct proporționale: Marimi direct proportionale si invers proportionale.
Iata cateva CV-uri de cuvinte cheie pentru a va ajuta sa gasiti cautarea, proprietarul drepturilor de autor este proprietarul original, acest blog nu detine drepturile de autor ale acestei imagini sau postari, dar acest blog rezuma o selectie de cuvinte cheie pe care le cautati din unele bloguri de incredere si bine sper ca acest lucru te va ajuta foarte mult
Marimi direct proportionale, marimi invers proportionale, două mărimi variabile sunt direct proporționale, dacă depind una de cealaltă, astfel încât dacă coeficient de proporționalitate si se notează cu ,. Cinci tractoare ar un teren n 14 ore. Ecuatii in multimea numerelor rationale pozitive.
Cinci tractoare ar un teren n 14 ore.
Ecuatii in multimea numerelor rationale pozitive. Sa se afle numerele a, b,c stiind ca multimile. Fundatia proful online isi propune sa acorde ajutor cu tema pentru acasa tuturor elevilor!
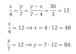
Aflaţi numerele, ştiind că ele sunt invers proporţionale cu nr. În acest quiy vă veţi aminti noţiunile de proporţionalitate din primul semestru cu câteva probleme respectiv exerciţii. Aflaţi numerele ştiind ca xy + yz +xz = 54.
Marimi direct si invers proportionale.
11)determinaţi numerele x,y,z dacă numerele 1 , 1 , 1 sunt invers proporţionale cu. De caiete şi preţul lor.nr. Exercitiu aflati x,y,z stiind ca x+z=15 si ca x,y,z sunt direct proportionale cu 8,24,32.
Probleme care se rezolva cu ajutorul ecuatiilor direct proportionale si invers proportionale. Marimi direct proportionale, marimi invers proportionale, două mărimi variabile sunt direct proporționale, dacă depind una de cealaltă, astfel încât dacă coeficient de proporționalitate si se notează cu ,. Doua marimi x si y diferite de 0 se numesc marimi invers proportionale,daca depind una de alta in aflati numerele stiind ca a,b,c sunt direct proportionale cu 2,7,si 12 si c,d,e, sunt invers.
Lectii video de matematica online:
Dacă 3kg mărimi invers proporționale: Cu o experientă de peste 20 de ani în învatămant încerc să împartășesc și altora din experiența mea didactică. Probleme care se rezolva cu ajutorul ecuatiilor direct proportionale si invers proportionale.

Posting Komentar untuk "Probleme Cu Marimi Direct Si Invers Proportionale"